Vectors and transformations Question Preview

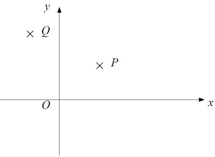
`ulp` is the position vector of `P(3, 2)`.

`ul(q)` is the position vector of `Q("−"1, 6)`.

The point `A` has position vector `ul(a)`, and the point `B` has position vector `ul(b)`, where `ul(a) = 3ul(p)` and `ul(b) = ul(p) − 3ul(q)`.

Find `vec(AB)` in terms of `ul(p)` and `ul(q)`.

Your Answer:

You did not answer this question.