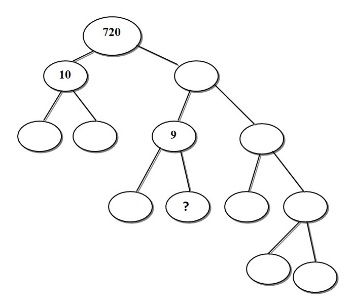
Number Question Preview

Look at the incomplete factor tree shown.

Find the value of the "?".

Your Answer:

You did not answer this question.